En la parte 1 de este artículo hemos analizado los cuatro factores que nos influyen en como tomamos las decisiones, los efectos de decisiones mal tomadas y los 6 métodos de toma de decisión. En la parte dos la meta es dejaros al final un proceso claro y aplicable sobre cómo la toma de decisiones en la empresa.
Efectos de los modelos de toma de decisiones
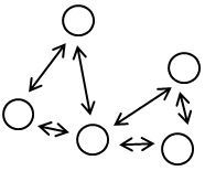
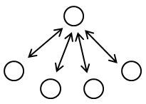
Reanudando de la parte 1, y para entender de forma clara que sucede con la comunicación en los modelos de comunicación a continuación la visualización de las comunicaciones según modelo:
Como puedes ver, de arriba hacia abajo aumentan las flechas, es decir, aumentan las vías de comunicación y la complejidad. Por lo que hay que escoger el modelo de toma de decisión sabiamente ya que cuantas más flechas, más dinero cuesta la toma de decisión a la empresa.
¿Sí o no…? Una alternativa al blanco o negro
“¿Estás conmigo o estás en mi contra…?” Esto es a menudo el resultado de votaciones. Estamos obligados a decidirnos por un “no” o un “sí”, sin poder matizar. Y allí radica un problema porque el “si” o el “no” a menudo no expresa realmente la opinión, por ejemplo alguien renuncia a su opinión y vota “sí” por no querer bloquear una decisión. De esta forma el grupo y la persona que decide a menudo no se enteran de las opiniones reales porque nadie quiere enfrentarse con él o ella. De forma que hemos de matizar.
Sam Kaner y su equipo desarrollaron una escala de acuerdos para evitar el sí/no e introducir una alternativa mucho mejor:
Con esta escala las personas al ser preguntadas no están obligadas al sí/no y se obtiene una imagen mucho más nítida del compromiso del grupo alrededor de la decisión. Podrás diferenciar claramente entre…
Aprender cada 2 meses...
¿Quieres ser avisado de lo más nuevo? Cada segundo mes, el segundo jueves a las 11:00: cómo gestionar la empresa mejor. Apúntate y forma parte de la comunidad con más de 1350 suscriptores.
- … apoyo con entusiasmo, cuando los votos se concentran entre el uno y el tres
- … apoyo moderado, cuando los votos se concentran alrededor del tres y cuatro
- … sin apoyo claro, al tener los votos dispersos entre uno y seis
- … sin apoyo, al concentrarse los votos del cuatro hacia arriba
Saberlo es importante en el momento de tener una decisión que requiere un apoyo con entusiasmo. Al estar obligado al sí/no es casi imposible detectar que tipo de apoyo se obtiene del grupo. Decisiones para alcanzar un apoyo con entusiasmo son típicamente las siguientes:
El proceso de tomar una decisión
Esta herramienta podrá sustituir las decisiones por mayoría y de unanimidad y te permite obtener una foto clara del apoyo sobre la decisión.
Ahora bien, la pregunta no solo es el “qué”, sino también el “cómo”. Aquí está cómo usar la escala de acuerdos en una reunión (es la misma metodología que usa VISA International):
- Al estar en una discusión sobre un tema, cada uno de los participantes tiene el derecho de proponer la finalización de la discusión en cualquier momento. En caso de desacuerdo, es la persona a cargo que decide si se finaliza o no la discusión.
- Clarificar la propuesta sobre la que va la decisión: escribirla al whiteboard/pizarra que todos puedan verla
- Votar la propuesta, usando la escala de acuerdo. Esto puede ser abierto, secreto, al mismo tiempo, cronológico etc. Lo importante es que nadie es influenciado por la opinión de los demás.
- Si nadie pone un “Veto” a la propuesta la persona a cargo decide entre dos opciones:
- Hay un apoyo suficiente para ir adelante con la propuesta.
- No lo hay, y el grupo reabre el debate hasta encontrar una propuesta que sí gana el suficiente apoyo.
Entre la escala de acuerdos y el método arriba explicado ya sabes cómo mejorar la toma de decisiones en tu empresa. La escala de acuerdos puedes adaptarla a las necesidades de tu empresa, y hacer lo mismo con el proceso de la toma de decisiones. Cada empresa es un mundo y si por alguna razón necesitas adaptarlo sin cambiar el contexto, no te sientes encorsetado.
Conclusión y next steps
En resumen y conclusión, tienes tres métodos a escoger:
- Método 1: Decides el tema solo. Sin discusión con otras personas.
- El tema requiere escuchar a los demás. Antes de la discusión explica cómo piensas tomar la decisión para que todos sepan de antemano cual va a ser el proceso. Evitarás frustraciones y creas claridad.
- Método 2: Después de escuchar las opiniones en una discusión tomarás la decisión.
- Método 3: Es un tema relevante que requiere apoyo amplio por lo que usarás la escala de acuerdos y de esta forma obtienes una foto clara del apoyo a la decisión. Según veas el apoyo
- tomas la decisión
- o bien dejas que la discusión siga para encontrar una decisión mejor.
Como una imagen vale más que mil palabras, a continuación el árbol de toma decisiones en la empresa de la mejor forma:
Si quieres profundizar en la toma de decisiones y como gestionar reuniones te recomiendo leas el libro Facilitators Guide to Participatory Decision-Making.
La buena noticia es ¡que es una decisión fácil si lo lees o no! No necesitas ningún proceso, ni preguntar a nadie, tú mismo.
De forma, ¡decídete! 😉
Próximos pasos...
- De 0 a 100… ¿Cuantos puntos tiene tu empresa? Mide la solidez de tu empresa: EOS Organizational Checkup
- Descargarte libros de forma gratuita o ver unos videos sobre EOS
- Solicita una reunión gratuita de 90 minutos con un Implementador de EOS para obtener una imagen clara de cómo es gestionar tu empresa con EOS.






